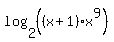
SOLUTION: write each logarithmic expression as one logarithm log(base 2) (x+1)+9 log (base 2)x
Algebra
->
Logarithm Solvers, Trainers and Word Problems
-> SOLUTION: write each logarithmic expression as one logarithm log(base 2) (x+1)+9 log (base 2)x
Log On
Algebra: Logarithm
Section
Solvers
Solvers
Lessons
Lessons
Answers archive
Answers
Click here to see ALL problems on logarithm
Question 873049
:
write each logarithmic expression as one logarithm
log(base 2) (x+1)+9 log (base 2)x
Answer by
lwsshak3(11628)
(
Show Source
):
You can
put this solution on YOUR website!
write each logarithmic expression as one logarithm
log(base 2) (x+1)+9 log (base 2)x