SOLUTION: Solve a) log(base 2)x + log(base 4 ) x = 5 Can you please help me out? Thanks so much in advance:)

Algebra ->  Logarithm Solvers, Trainers and Word Problems -> SOLUTION: Solve a) log(base 2)x + log(base 4 ) x = 5 Can you please help me out? Thanks so much in advance:)      Log On


   



Question 872303: Solve
a) log(base 2)x + log(base 4 ) x = 5
Can you please help me out? Thanks so much in advance:)

Found 2 solutions by josgarithmetic, lwsshak3:
Answer by josgarithmetic(39799) About Me  (Show Source):
You can put this solution on YOUR website!
log%282%2Cx%29%2Blog%284%2Cx%29=5
Using change-of-base formula,
log%282%2Cx%29%2Blog%282%2Cx%29%2Flog%282%2C4%29=5
log%282%2Cx%29%2Blog%282%2Cx%29%2F2=5, and I did not show the two separate steps;
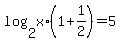
log%282%2Cx%29%281%2B1%2F2%29=5
log%282%2Cx%29=5%282%2F3%29
log%282%2Cx%29=10%2F3

2%5E%2810%2F3%29=x

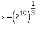
x=%282%5E10%29%5E%281%2F3%29, ... to the tenth power to the three power
x=root%283%2C2%5E10%29
x=2%2A2%2A2%2A2%5E%281%2F3%29
highlight%28x=8%2A2%5E%281%2F3%29=8%2Aroot%283%2C2%29%29

Answer by lwsshak3(11628) About Me  (Show Source):
You can put this solution on YOUR website!
Solve
a) log(base 2)x + log(base 4 ) x = 5
log%282%2C%28x%29%29%2Blog%284%2C%28x%29%29=5
log%282%2C%28x%29%29%2Blog%282%2C%28x%29%29%2Flog%282%2C%284%29%29=5
log%282%2C%28x%29%29%2Blog%282%2C%28x%29%29%2F2=5
2log%282%2C%28x%29%29%2Blog%282%2C%28x%29%29=10
3log%282%2C%28x%29%29=10
log%282%2C%28x%29%29=10%2F3
x=2^(10/3)≈10.0796…