SOLUTION: Hello! How do I condense this expression to a single quantity? 7/6ln(z-9) + ln(z)

Algebra ->  Logarithm Solvers, Trainers and Word Problems -> SOLUTION: Hello! How do I condense this expression to a single quantity? 7/6ln(z-9) + ln(z)       Log On


   



Question 872108: Hello! How do I condense this expression to a single quantity?
7/6ln(z-9) + ln(z)

Answer by Edwin McCravy(20060) About Me  (Show Source):
You can put this solution on YOUR website!

expr%287%2F6%29%2Aln%28z-9%29%22%22%2B%22%22ln%28z%29

matrix%282%2C1%2C%22%22%2C%0D%0A%0D%0Aln%28z-9%29%5E%287%2F6%29%29matrix%282%2C1%2C%22%22%2C%22%22%2B%22%22%29matrix%282%2C1%2C%22%22%2Cln%28z%29%29

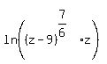
matrix%282%2C1%2C%22%22%2C%0D%0A%0D%0Aln%28%28z-9%29%5E%287%2F6%29%2Az%29%29

You can leave it like that, or this

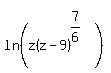
matrix%282%2C1%2C%22%22%2C%0D%0A%0D%0Aln%28z%28z-9%29%5E%287%2F6%29%29%29

Or you can change to a radical:

ln%28z%2Aroot%286%2C%28z-9%29%5E7%29%29%29

and simplify:

ln%28z%2Aroot%286%2C%28z-9%29%5E6%2A%28z-9%29%5E1%29%29%29

ln%28z%2Aroot%286%2C%28z-9%29%5E6%29%2Aroot%286%2C%28z-9%29%5E1%29%29

ln%28z%2A%28z-9%29%2Aroot%286%2Cz-9%29%29

Edwin