SOLUTION: Hi! heres my question: solve the following equation for x and check you solutions(s): log5x + log(x-1) =2 THANK YOU

Algebra ->  Logarithm Solvers, Trainers and Word Problems -> SOLUTION: Hi! heres my question: solve the following equation for x and check you solutions(s): log5x + log(x-1) =2 THANK YOU      Log On


   



Question 871860: Hi! heres my question:
solve the following equation for x and check you solutions(s):
log5x + log(x-1) =2
THANK YOU

Answer by josgarithmetic(39627) About Me  (Show Source):
You can put this solution on YOUR website!
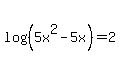
log%28%285x%29%29%2Blog%28%28x-1%29%29=2
log%28%285x%28x-1%29%29%29=2
log%28%285x%5E2-5x%29%29=2
What is your base? I will assume base ten.
log%2810%2C%285x%5E2-5x%29%29=2

10%5E2=5x%5E2-5x
5x%5E2-5x-100=0
x%5E2-x-20=0
solve for x.