SOLUTION: Create a table of values for the following logarithmic functions and graph:
a. f(x)=log(subscript)4(x+3)
b. f(x)=log(subscript)4x+3
I repeatedly get the wrong graphs for e
Algebra ->
Logarithm Solvers, Trainers and Word Problems
-> SOLUTION: Create a table of values for the following logarithmic functions and graph:
a. f(x)=log(subscript)4(x+3)
b. f(x)=log(subscript)4x+3
I repeatedly get the wrong graphs for e
Log On
Question 87121This question is from textbook
: Create a table of values for the following logarithmic functions and graph:
a. f(x)=log(subscript)4(x+3)
b. f(x)=log(subscript)4x+3
I repeatedly get the wrong graphs for each equation. Frustrated. This question is from textbook
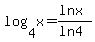
You can put this solution on YOUR website! You may be getting the wrong answer because you are supposed to be using log base 4. To convert, remember the formula
. You can probably use a calculator too.
Is this what you meant?? Do you have the answers?
a. , so
b. , so
Graphing, this is what I got:
a.
b.
To get some extra practice in the laws of logarithms, check out some of my lesson plans in algebra.com, or go to my own website by clicking on my tutor name "rapaljer" anywhere in algebra.com. Then look for "MATH IN LIVING COLOR", click on "College Algebra", and look for Chapter 4. The additional explanations and examples may help you.