SOLUTION: Solve a)log(x+1) = log 6 - log x b)ln(x-2) + ln(3) = ln(x+1) Can you please help me out? Thanks so much in advance:)

Algebra ->  Logarithm Solvers, Trainers and Word Problems -> SOLUTION: Solve a)log(x+1) = log 6 - log x b)ln(x-2) + ln(3) = ln(x+1) Can you please help me out? Thanks so much in advance:)       Log On


   



Question 867256: Solve
a)log(x+1) = log 6 - log x
b)ln(x-2) + ln(3) = ln(x+1)
Can you please help me out? Thanks so much in advance:)

Answer by KMST(5328) About Me  (Show Source):
You can put this solution on YOUR website!
a) log%28%28x%2B1%29%29+=+log%286%29-+log%28x%29
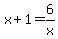
log%28%28x%2B1%29%29+=+log%286%2Fx%29
x%2B1=6%2Fx
x%28x%2B1%29=x%286%2Fx%29
x%5E2%2Bx=6
That is a quadratic equation.
It can be solved several ways, like factoring, using the quadratic formula or completing the square.
Completing the square:
x%5E2%2Bx=6
x%5E2%2Bx%2B1%2F4=6%2B1%2F4
%28x%2B1%2F2%29%5E2=25%2F4 --> system%28x%2B1%2F2=5%2F2%2C%22or%22%2Cx%2B1%2F2=-5%2F2%29-->system%28x=5%2F2-1%2F2%2C%22or%22%2Cx=-5%2F2-1%2F2%29}-->system%28highlight%28x=2%29%2C%22or%22%2Cx=-3%29
We discard x=-3 because it makes log%28x%29 undefined.

b) ln%28x-2%29+%2B+ln%283%29+=+ln%28x%2B1%29
ln%28%28x-2%29%2A3%29+=+ln%28x%2B1%29
%28x-2%29%2A3+=+x%2B1
3x-6+=x%2B1
3x-x+=1%2B6%29
2x=7
highlight%28x=7%2F2%29