SOLUTION: {{{ log( 2, 1 ) }}} - {{{ log( 4, x ) }}} + {{{ log( 4, y ) }}} = 2 Please solve for x Please show all steps

Algebra ->  Logarithm Solvers, Trainers and Word Problems -> SOLUTION: {{{ log( 2, 1 ) }}} - {{{ log( 4, x ) }}} + {{{ log( 4, y ) }}} = 2 Please solve for x Please show all steps       Log On


   



Question 865839: +log%28+2%2C+1+%29+ - +log%28+4%2C+x+%29+ + +log%28+4%2C+y+%29+ = 2
Please solve for x
Please show all steps

Found 2 solutions by josgarithmetic, MathTherapy:
Answer by josgarithmetic(39819) About Me  (Show Source):
You can put this solution on YOUR website!
Change the base-four logs into base-two logs, using Change Of Base formula.


-
As a side step, log%282%2C4%29=log%282%2C2%5E2%29=2%2Alog%282%2C2%29=2%2A1=2
-
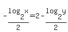
0-log%282%2Cx%29%2F2%2Blog%282%2Cy%29%2F2=2
-log%282%2Cx%29%2F2=2-log%282%2Cy%29%2F2
log%282%2Cx%29%2F2=log%282%2Cy%29%2F2-2
log%282%2Cx%29=log%282%2Cy%29-4
log%282%2Cx%29-log%282%2Cy%29=-4
log%282%2Cy%29-log%282%2Cx%29=4, multiplied both sides by negative 1
log%282%2Cy%2Fx%29=4
Put into expon. form.
2%5E4=y%2Fx
x%2A2%5E4=y
x=y%2F2%5E4
highlight%28x=y%2F16%29


------------not the best form----
x=2%5E%28%28%28log%282%2Cy%29%29-4%29%29

Answer by MathTherapy(10837) About Me  (Show Source):
You can put this solution on YOUR website!
+log%28+2%2C+1+%29+ - +log%28+4%2C+x+%29+ + +log%28+4%2C+y+%29+ = 2

Please solve for x
Please show all steps   
*********************
While the answer is correct, the steps the other person showed are WAY TOO UNNECESSARY. For example, why did he convert from base 4 to
base 2? To this author, it's a little lengthy, and quite time-consuming. A lot less steps can be used to reach the same goal: the correct answer!

log+%282%2C+%281%29%29+-+log+%284%2C+%28x%29%29+%2B+log+%284%2C+%28y%29%29+=+2
           0+-+log+%284%2C+%28x%29%29+%2B+log+%284%2C+%28y%29%29+=+2
        log+%284%2C+%28x%29%5E%28-+1%29%29+%2B+log+%284%2C+%28y%29%29+=+2 ----- Applying a%2Alog+%28b%2C+%28c%29%29+=+log+%28b%2C+%28c%5Ea%29%29
              log+%284%2C+%281%2Fx%29%29+%2B+log+%284%2C+%28y%29%29+=+2
                          log+%284%2C+%281%2Fx%29y%29+=+2 ----- Applying log+%28b%2C+%28c%29%29+%2B+log+%28b%2C+d%29%29 = log+%284%2C+%28c%2Ad%29%29
                                      %28y%2Fx%29+=+4%5E2 ---- Converting to EXPONENTIAL form
                                      %28y%2Fx%29+=+16
                                       16x = y ----- Cross-multiplying
                                          highlight%28x+=+y%2F16%29