SOLUTION: Use logarithms to solve the equation 5^x=2^2x+1, giving your answer correct to 3 significant figures.
Algebra
->
Logarithm Solvers, Trainers and Word Problems
-> SOLUTION: Use logarithms to solve the equation 5^x=2^2x+1, giving your answer correct to 3 significant figures.
Log On
Algebra: Logarithm
Section
Solvers
Solvers
Lessons
Lessons
Answers archive
Answers
Click here to see ALL problems on logarithm
Question 865522
:
Use logarithms to solve the equation 5^x=2^2x+1, giving your answer correct to 3 significant figures.
Answer by
ankor@dixie-net.com(22740)
(
Show Source
):
You can
put this solution on YOUR website!
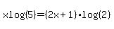
Use logarithms to solve the equation
the log equiv of exponents
find the log of 5 and 2
.699x = .301(2x+1)
.699x = .602x + .301
.699x - .602x = .301
.097x = .301
x =
x = 3.103