Hi
Re TY; Good Catch and Good work!


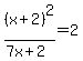
x^2 + 4x + 4 = 7x + 2
x^2 - 3x - 2 = 0
(x-2)(x-1) = 0, x = 1, 2
and IF...:)
and 
Therefore:

|Note: If log(2,X) = 1 then 2^1 = X
x^2 + 4x + 4 = 14x + 4
x^2 - 10x = 0
x(x-10) = 0, x = 10 |Note: root x = 0 is an extraneous root