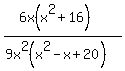
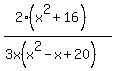
SOLUTION: Simplify: 6x^3 + 96x/9x^4-9x^3+180x^2

Algebra ->  Logarithm Solvers, Trainers and Word Problems -> SOLUTION: Simplify: 6x^3 + 96x/9x^4-9x^3+180x^2      Log On