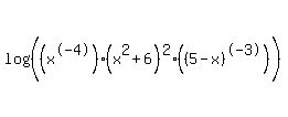
SOLUTION: −2log(x2)+ 2 log (x2 +6)−3log (5−x) please help me solve this with an explanation as to how so I can help my daughter with it. Thank you.
Question 859320: −2log(x2)+ 2 log (x2 +6)−3log (5−x) please help me solve this with an explanation as to how so I can help my daughter with it. Thank you. Answer by lwsshak3(11628) (Show Source):
You can put this solution on YOUR website! −2log(x2)+ 2 log (x2 +6)−3log (5−x) please help me solve this with an explanation as to how
..
..