SOLUTION: Hello! I need help on solving x for this equation: log(base 2)x = log(base x)e

Algebra ->  Logarithm Solvers, Trainers and Word Problems -> SOLUTION: Hello! I need help on solving x for this equation: log(base 2)x = log(base x)e       Log On


   



Question 834522: Hello! I need help on solving x for this equation:
log(base 2)x = log(base x)e

Answer by lwsshak3(11628) About Me  (Show Source):
You can put this solution on YOUR website!
solving x for this equation:
log(base 2)x = log(base x)e
convert to base(2)
log%282%2C%28x%29%29=log%282%2C%28e%29%29%2Flog%282%2C%28x%29%29
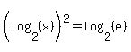
%28log%282%2C%28x%29%29%29%5E2=log%282%2C%28e%29%29
%28log%282%2C%28x%29%29%29%5E2=log%282%2C%28e%29%29
log%282%2C%28x%29%29=sqrt%28log%282%2C%28e%29%29%29
note:reject negative root
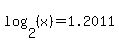
sqrt%28log%282%2C%28e%29%29%29=1.2011
log%282%2C%28x%29%29=1.2011
x=2^1.2011≈2.2991
check:
log(base 2)x≈1.2011
log(base x)e≈1.2011