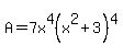
SOLUTION: ln7+4lnx+4ln(x2+3) as a single logarithm lnA. Then the function A= what?
Algebra
->
Logarithm Solvers, Trainers and Word Problems
-> SOLUTION: ln7+4lnx+4ln(x2+3) as a single logarithm lnA. Then the function A= what?
Log On
Algebra: Logarithm
Section
Solvers
Solvers
Lessons
Lessons
Answers archive
Answers
Click here to see ALL problems on logarithm
Question 828892
:
ln7+4lnx+4ln(x2+3)
as a single logarithm lnA. Then the function A= what?
Answer by
jim_thompson5910(35256)
(
Show Source
):
You can
put this solution on YOUR website!
So,