SOLUTION: Given that log (base 7)x^2 = p and log (base 7) xy^2 = q, find log (base 7) (cube root over xy) in terms of p and q. hope you'll get my question right!

Algebra ->  Logarithm Solvers, Trainers and Word Problems -> SOLUTION: Given that log (base 7)x^2 = p and log (base 7) xy^2 = q, find log (base 7) (cube root over xy) in terms of p and q. hope you'll get my question right!      Log On


   



Question 824341: Given that log (base 7)x^2 = p and log (base 7) xy^2 = q, find log (base 7) (cube root over xy) in terms of p and q.
hope you'll get my question right!

Found 2 solutions by Edwin McCravy, jsmallt9:
Answer by Edwin McCravy(20056) About Me  (Show Source):
You can put this solution on YOUR website!
Given that log%287%2C%28x%5E2%29%29+=+p and log%287%2C%28xy%5E2%29%29+=+q, find log%287%2C%28root%283%2Cxy%29%29%29 in terms of p and q.
log%287%2C%28x%5E2%29%29+=+p        log%287%2C%28xy%5E2%29%29+=+q
 2log%287%2C%28x%29%29+=+p       log%287%2C%28x%29%29%2Blog%287%2C%28y%5E2%29%29=q
log%287%2C%28x%29%29+=+p%2F2         log%287%2C%28x%29%29%2B2log%287%2Cy%29=q
             
                    p%2F2%2B2log%287%2Cy%29=q
                    p%2B4log%287%2Cy%29=2q
                    4log%287%2Cy%29=2q-p
                    log%287%2Cy%29=%282q-p%29%2F4

We want to find:

log%287%2C%28root%283%2Cxy%29%29%29%29 =
matrix%282%2C1%2C%22%22%2Clog%287%2C%28%28xy%29%5E%281%2F3%29%29%29%29%29 =
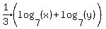
expr%281%2F3%29log%287%2C%28xy%29%29 =
expr%281%2F3%29%28log%287%2C%28x%29%29%2Blog%287%2C%28y%29%29%29 =
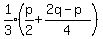
expr%281%2F3%29%28p%2F2%2B%282q-p%29%2F4%29 =
expr%281%2F3%29%282p%2F4%2B%282q-p%29%2F4%29 =
expr%281%2F3%29%28%282p%2B2q-p%29%2F4%29%29 =
expr%281%2F3%29%28%28p%2B2q%29%2F4%29%29 =
%28p%2B2q%29%2F12
 
Edwin

Answer by jsmallt9(3758) About Me  (Show Source):
You can put this solution on YOUR website!
log%287%2C+%28x%5E2%29%29+=+p and log%287%2C+%28xy%5E2%29%29+=+q
What we are going to do is...
  1. Solve the above equations to get expressions for log%287%2C+%28x%29%29 and log%287%2C+%28y%29%29.
  2. Rewrite log%287%2C+%28root%283%2C+xy%29%29%29 in terms of log%287%2C+%28x%29%29 and log%287%2C+%28y%29%29.
  3. Substitute in the expressions for log%287%2C+%28x%29%29 and log%287%2C+%28y%29%29 from step 1 into the expression we got in step 2.
  4. Simplify.
Solving log%287%2C+%28x%5E2%29%29+=+p for log%287%2C+%28x%29%29:
Using a property of logarithms, log%28a%2C+%28j%5En%29%29+=+n%2Alog%28a%2C+%28j%29%29, to move the exponent out in front:
2log%287%2C+%28x%29%29+=+p
Dividing both sides by 2:
log%287%2C+%28x%29%29+=+p%2F2

Solving log%287%2C+%28xy%5E2%29%29+=+q for log%287%2C+%28y%29%29:
Using another property of logarithms, log%28a%2C+%28j%2Ak%29%29+=+log%28a%2C+%28j%29%29+%2B+log%28a%2C+%28k%29%29, we can split the argument into separate logs:
log%287%2C+%28x%29%29+%2B+log%287%2C+%28y%5E2%29%29+=+q
Substituting in the expression we got for log%287%2C+%28x%29%29:
p%2F2+%2B+log%287%2C+%28y%5E2%29%29+=+q
Using the property to move the exponent:
p%2F2+%2B+2log%287%2C+%28y%29%29+=+q
Multiplying each side by 1/2:
p%2F4+%2B+log%287%2C+%28y%29%29+=+q%2F2
Subtracting p/4:
log%287%2C+%28y%29%29+=+q%2F2-p%2F4

Rewriting log%287%2C+%28root%283%2C+xy%29%29%29 in terms of log%287%2C+%28x%29%29 and log%287%2C+%28y%29%29:
Since a cube root is the same as an exponent of 1/3:
log%287%2C+%28%28xy%29%5E%281%2F3%29%29%29
Moving the exponent:
%281%2F3%29log%287%2C+%28xy%29%29
Split the argument:
%281%2F3%29%28log%287%2C+%28x%29%29+%2B+log%287%2C+%28y%29%29%29
Substituting in our expressions for the two logs:
%281%2F3%29%28p%2F2+%2B+q%2F2+-+p%2F4%29
Simplifying...
%281%2F3%29%282p%2F4+%2B+q%2F2+-+p%2F4%29
%281%2F3%29%28p%2F4+%2B+q%2F2%29
p%2F12+%2B+q%2F6%29