The first two are used to combine logarithmic terms. They require that the bases of the two logs be the same and that the coefficients of the logs are 1's. The third one allows us to "move" a coefficient into the argument as its exponent (so that we can then use the first two properties).
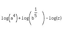
So we start with the third property on the first two logs:
Since 1/5 as an exponent means 5th root and since fractional exponents don't always display well on algebra.com, I'm going to rewrite the second argument in radical form. (You do not need to do this.)
Now we can use the first property to combine the first two logs (because the property has a "+" between the logs like ours do):
Now we can use the second property to combine the remaining logs (because the property has a "-" between the logs like ours do):