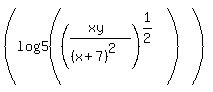
SOLUTION: How do you condense this? 1/2(log5(x)+log5(y))-2 log5(x+7)
Algebra
->
Logarithm Solvers, Trainers and Word Problems
-> SOLUTION: How do you condense this? 1/2(log5(x)+log5(y))-2 log5(x+7)
Log On
Algebra: Logarithm
Section
Solvers
Solvers
Lessons
Lessons
Answers archive
Answers
Click here to see ALL problems on logarithm
Question 817540
:
How do you condense this?
1/2(log5(x)+log5(y))-2 log5(x+7)
Answer by
LinnW(1048)
(
Show Source
):
You can
put this solution on YOUR website!
or