SOLUTION: rewrite so that your answer does not contain logarithms, of any product, quotient or power? a) Log(base)2 ((x+2)^2(x+1)/x^3(x-2)^2) b) ln((x^2(x+2)^2)/(x+4)^3)

Algebra ->  Logarithm Solvers, Trainers and Word Problems -> SOLUTION: rewrite so that your answer does not contain logarithms, of any product, quotient or power? a) Log(base)2 ((x+2)^2(x+1)/x^3(x-2)^2) b) ln((x^2(x+2)^2)/(x+4)^3)      Log On


   



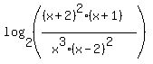
Question 816824: rewrite so that your answer does not contain logarithms, of any product, quotient or power?
a) Log(base)2 ((x+2)^2(x+1)/x^3(x-2)^2)
b) ln((x^2(x+2)^2)/(x+4)^3)

Answer by Edwin McCravy(20059) About Me  (Show Source):