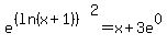
SOLUTION: Solve and check e^In(x+1)^2=x+3e^0

Algebra ->  Logarithm Solvers, Trainers and Word Problems -> SOLUTION: Solve and check e^In(x+1)^2=x+3e^0      Log On


   



Question 816164: Solve and check
e^In(x+1)^2=x+3e^0

Answer by jsmallt9(3758) About Me  (Show Source):
You can put this solution on YOUR website!
It is "ell-en" not "eye-en":
e%5Eln%28x%2B1%29%5E2=x%2B3e%5E0
And I am guessing that the exponent of 2 applies to (x+1) not to ln(x+1):
e%5Eln%28%28x%2B1%29%5E2%29=x%2B3e%5E0
not:
e%5E%28%28ln%28x%2B1%29%29%29%5E2=x%2B3e%5E0
If my guess is wrong then you'll have to re-post. (If so, then use parentheses to make it clear.

e%5Eln%28%28x%2B1%29%5E2%29=x%2B3e%5E0
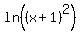
The left side simplifies easily if you understand what logarithms are. Logarithms are exponents. log%284%2C+%2816%29%29 is the exponent one would put on a 4 to get 16 as the result. In general, log%28a%2C+%28p%29%29 is the exponent one would put on an "a" to get "p" as a result. ln's are just logarithms with a special base, e. So ln(7) is the exponent one would put on an "e" to get 7 as the result. And ln%28%28x%2B1%29%5E2%29 represents the exponent one would put on an "e" to get %28x%2B1%29%5E2 as a result.

And look at where the ln%28%28x%2B1%29%5E2%29 is in our equation. It is the exponent on an "e"!! So e%5Eln%28%28x%2B1%29%5E2%29 is simply %28x%2B1%29%5E2!! This makes our equation:
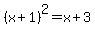
%28x%2B1%29%5E2=x%2B3e%5E0
And since any number (except zero) to the zero power is 1, the equation simplifies further:
%28x%2B1%29%5E2=x%2B3

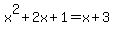
We now have a quadratic equation to solve. First we square the left side. We could use FOIL for this but I prefer to use the %28a%2Bb%29%5E2+=+a%5E2%2B2ab%2Bb%5E2 pattern:
%28x%29%5E2%2B2%28x%29%281%29%2B+%281%29%5E2=x%2B3
which simplifies to:
x%5E2%2B2x%2B+1=x%2B3
Now we want a zero on one side. Subtracting x and 3 from each side:
x%5E2%2Bx-2=0
Now we factor:
(x+2)(x-1) = 0
Next the Zero Product Property:
x+2 = 0 or x-1 = 0
Solving these we get:
x = -2 or x = 1

Last we check. Use the original equation to check:
e%5Eln%28%28x%2B1%29%5E2%29=x%2B3e%5E0
Checking x = -2:
e%5Eln%28%28-2%29%2B1%29%5E2%29=%28-2%29%2B3e%5E0
Simplifying...
e%5Eln%28%28-1%29%5E2%29=%28-2%29%2B3e%5E0
e%5Eln%281%29=%28-2%29%2B3e%5E0
Since the exponent for "e" that results in 1 is zero, ln(1) = 0:
e%5E0=%28-2%29%2B3e%5E0
The e to the zero powers are 1's:
1=%28-2%29%2B3
1=1 Check!!
Checking x = 1:
e%5Eln%28%281%29%2B1%29%5E2%29=%281%29%2B3e%5E0
Simplifying...
e%5Eln%282%5E2%29=%281%29%2B3e%5E0
e%5Eln%284%29=%28-2%29%2B3e%5E0
Since ln(4) is the exponent for "e" that results in 4 and since it is the exponent on an "e":
4=%281%29%2B3e%5E0
The e to the zero power is 1:
4=%281%29%2B3
4=4 Check!!

P.S. It might be useful to memorize that a%5Elog%28a%2C+%28x%29%29+=+x for all bases (including "e").