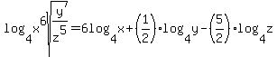
SOLUTION: Use the properties of logarithms to expand the expression as a sum, difference, and/or constant multiple of logarithms. (Assume all variables are positive.) log4 x6 sqrt y/z^5

Algebra ->  Logarithm Solvers, Trainers and Word Problems -> SOLUTION: Use the properties of logarithms to expand the expression as a sum, difference, and/or constant multiple of logarithms. (Assume all variables are positive.) log4 x6 sqrt y/z^5       Log On


   



Question 814308: Use the properties of logarithms to expand the expression as a sum, difference, and/or constant multiple of logarithms. (Assume all variables are positive.)
log4 x6 sqrt y/z^5

Answer by ewatrrr(24785) About Me  (Show Source):