SOLUTION: Hi! I've actually worked out all these problems I just want to make sure that I have the right answer. Thank you so much! Hope you can help me out! 1. 7log_3(5x)-2log_3(9)=4 2

Algebra ->  Logarithm Solvers, Trainers and Word Problems -> SOLUTION: Hi! I've actually worked out all these problems I just want to make sure that I have the right answer. Thank you so much! Hope you can help me out! 1. 7log_3(5x)-2log_3(9)=4 2      Log On


   



Question 812750: Hi! I've actually worked out all these problems I just want to make sure that I have the right answer. Thank you so much! Hope you can help me out!
1. 7log_3(5x)-2log_3(9)=4
2. 2log_5(5x)+3log_5(4)=3
3. log_2(8x)-log_2(2)=4
4. log_5(2x)+log_5(9)=2
5. 5log_2(2x)+2log_2(x^2)
Thank you!
Chelsea :)

Found 2 solutions by richwmiller, jsmallt9:
Answer by richwmiller(17219) About Me  (Show Source):
You can put this solution on YOUR website!
Then show your work and answers too
one problem at a time no similar problems and and limit of 5 per day

Answer by jsmallt9(3758) About Me  (Show Source):
You can put this solution on YOUR website!
I'll do #2 since that one looks like it might be the hardest one. If you got that one right you probably got the others right, too. And if you got it wrong, seeing my solution should help you figure out how to check your other solutions.

2log%285%2C+%285x%29%29%2B3log%285%2C+%284%29%29=3
To solve logarithmic equations like this one, we start by using algebra and/or properties of logs to transform the equation into one of the following forms:
log(expression) = expression
or
log(expression) = log(expression)
Since the second form is "all-log" and since our equation has a "non-log" term on the right, we will aim for the first form. So we need to find a way to combine the two logs into one (or to just eliminate one of them). If the coefficients of the logs were 1's we could use the log%28a%2C+%28p%29%29+%2B+log%28a%2C+%28q%29%29+=+log%28a%2C+%28p%2Aq%29%29 property to combine them. Fortunately there is another property, n%2Alog%28a%2C+%28p%29%29=+log%28a%2C+%28p%5En%29%29 which allows us to "move" a coefficient into the argument as its exponent:
log%285%2C+%28%285x%29%5E2%29%29%2Blog%285%2C+%28%284%29%5E3%29%29=3
which simplifies to:
log%285%2C+%2825x%5E2%29%29%2Blog%285%2C+%2864%29%29=3
Now we can use the other property to combine the logs:
log%285%2C+%2825x%5E2%2A64%29%29=3
which simplifies to:
log%285%2C+%281600x%5E2%29%29=3
And the equation is now in the first form.

The next stage with the first form is to rewrite the equation in exponential form:
1600x%5E2+=+5%5E3
which simplifies to:
1600x%5E2+=+125

Now that the logs are gone we solve the equation. Dividing by 1600:
x%5E2+=+125%2F1600
Square root of each side:
sqrt%28x%5E2%29+=+0+%2B-+sqrt%28125%2F1600%29
(Note: The "0" is there only because algebra.com's formula software will not let me use a "plus or minus" symbol without a number in front.) This simplifies as follows:
x+=+0+%2B-+sqrt%28125%29%2Fsqrt%281600%29
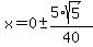
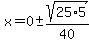
x+=+0+%2B-+sqrt%2825%2A5%29%2F40
x+=+0+%2B-+%28sqrt%2825%29%2Asqrt%285%29%29%2F40
x+=+0+%2B-+%285%2Asqrt%285%29%29%2F40
x+=+0+%2B-+sqrt%285%29%2F8
which is short for:
x+=+sqrt%285%29%2F8 or x+=+-sqrt%285%29%2F8

Last we check. This is not optional! A check must be made to ensure that all bases and arguments are valid. (Arguments must be positive and bases must be positive but not 1.) Any "solution" that makes aby base or any argument invalid must be rejected. Use the original equation to check:
2log%285%2C+%285x%29%29%2B3log%285%2C+%284%29%29=3
Checking x+=+sqrt%285%29%2F8:
2log%285%2C+%285%28sqrt%285%29%2F8%29%29%29%2B3log%285%2C+%284%29%29=3
We can already see that the bases and the arguments are all going to be valid. So this solution checks out.
Checking x+=+-sqrt%285%29%2F8:
2log%285%2C+%285%28-sqrt%285%29%2F8%29%29%29%2B3log%285%2C+%284%29%29=3
We can already see that the first argument is going to be negative (i.e. invalid). So this solution must be rejected.

So the only solution is: x+=+sqrt%285%29%2F8

P.S. If you are going to post more logarithmic expressions on algebra.com, you might want to learn how to get them displayed like I have done here. Just click on the "Show source" link just above this reply. It will show you what I typed to make the logs look like they do here.

P.P.S. The 5th problem might have been harder than this one but you didn't post the whole equation.