SOLUTION: I need to write this problem as a single log: 5ln(3x+2)-2ln(5x+1)-1/2ln(2x+5)

Algebra ->  Logarithm Solvers, Trainers and Word Problems -> SOLUTION: I need to write this problem as a single log: 5ln(3x+2)-2ln(5x+1)-1/2ln(2x+5)      Log On


   



Question 811100: I need to write this problem as a single log: 5ln(3x+2)-2ln(5x+1)-1/2ln(2x+5)
Answer by erica65404(394) About Me  (Show Source):
You can put this solution on YOUR website!
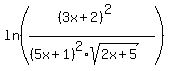
5%2Aln%283x%2B2%29-2%2Aln%285x%2B1%29-%281%2F2%29%2Aln%282x%2B5%29
exponent rule alogb=logb%5Ea
ln%283x%2B2%29%5E2-ln%285x%2B1%29%5E2-ln%282x%2B5%29%5E%281%2F2%29
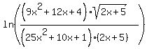
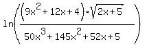
ln%28%28%283x%2B2%29%5E2%29%2F%28%285x%2B1%29%5E2%2A+sqrt%282x%2B5%29%29%29
rationalize denominator