SOLUTION: How do you solve this? log(x+4)+log(x)=9

Algebra ->  Logarithm Solvers, Trainers and Word Problems -> SOLUTION: How do you solve this? log(x+4)+log(x)=9      Log On


   



Question 810322: How do you solve this?
log(x+4)+log(x)=9

Found 2 solutions by josgarithmetic, josmiceli:
Answer by josgarithmetic(39623) About Me  (Show Source):
You can put this solution on YOUR website!
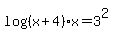
log%28x%2B4%29%2Blog%28x%29=9
log%28%28x%2B4%29x%29=3%5E2
If your base chosen is 3, then form the exponential equivalent to the equation,

3%5E%283%5E2%29=%28x%2B4%29x

3%5E9=x%5E2%2B4x
x%5E2%2B4x-3%5E9=0

x=%28-4%2B-+sqrt%2816%2B4%2A3%5E9%29%29%2F%282%29
x=%28-4%2B-+2%2Asqrt%281%2B3%5E9%29%29%2F%282%29
highlight%28x=-2%2B-+sqrt%281%2B3%5E9%29%29 or highlight%28x=-2%2B-+sqrt%28196684%29%29

Answer by josmiceli(19441) About Me  (Show Source):
You can put this solution on YOUR website!
+log%28+x%2B4+%29+%2B+log%28+x+%29+=+9+
Make the substitution:
+9+=+log%28+10%5E9+%29+
+log%28+x%2B4+%29+%2B+log%28+x+%29+=+log%28+10%5E9+%29+
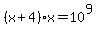
+log%28+%28x%2B4%29%2Ax+%29+=+log%28+10%5E9+%29+
+%28+x%2B4+%29%2Ax+=+10%5E9+
+x%5E2+%2B+4x+-+10%5E9+
Use quadratic formula
+x+=+%28-b+%2B-+sqrt%28+b%5E2+-+4%2Aa%2Ac+%29%29+%2F+%282%2Aa%29+
+a+=+1+
+b+=+4+
+c+=+-10%5E9+
+x+=+%28-4+%2B-+sqrt%28+4%5E2+-+4%2A1%2A%28-10%5E9+%29%29%29+%2F+%282%2A1%29+
+x+=+%28-4+%2B-+sqrt%28+16+%2B+4000000000+%29%29+%2F+2+
The answer looks pretty strange. I
think my method is OK, but the results
are a little odd
I would get another opinion