SOLUTION: Hi, Could you please help me with this question? {{{ log (x+1, (x-1)) = 2 }}} What I did was: {{{ (x+1)^2 = x-1 }}} {{{ x^2 + 2x + 1 = x-1 }}} {{{ x^2 + 2x + 1 - x + 1 =

Algebra ->  Logarithm Solvers, Trainers and Word Problems -> SOLUTION: Hi, Could you please help me with this question? {{{ log (x+1, (x-1)) = 2 }}} What I did was: {{{ (x+1)^2 = x-1 }}} {{{ x^2 + 2x + 1 = x-1 }}} {{{ x^2 + 2x + 1 - x + 1 =      Log On


   



Question 796042: Hi, Could you please help me with this question?
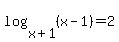
+log+%28x%2B1%2C+%28x-1%29%29+=+2+
What I did was:
+%28x%2B1%29%5E2+=+x-1+
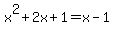
+x%5E2+%2B+2x+%2B+1+=+x-1+
+x%5E2+%2B+2x+%2B+1+-+x+%2B+1+=+0+
+x%5E2+%2B+x+%2B+2+=+0+
+x+=+Undefined+
But the answer sheet says the answer is 2
Thank you!

Answer by Alan3354(69443) About Me  (Show Source):
You can put this solution on YOUR website!
Hi, Could you please help me with this question?
+log+%28x%2B1%2C+%28x-1%29%29+=+2+
What I did was:
+%28x%2B1%29%5E2+=+x-1+
+x%5E2+%2B+2x+%2B+1+=+x-1+
+x%5E2+%2B+2x+%2B+1+-+x+%2B+1+=+0+
+x%5E2+%2B+x+%2B+2+=+0+
+x+=+Undefined+
But the answer sheet says the answer is 2
--------------
+log+%28x%2B1%2C+%28x-1%29%29+=+2+
Sub 2 for x
+log+%283%2C1%29+=+2+
That's not correct, 2 is not the answer.
There's no real number solution.