SOLUTION: if logx =4 and logy =3 Evaluate log square root of x divided by y squared

Algebra ->  Logarithm Solvers, Trainers and Word Problems -> SOLUTION: if logx =4 and logy =3 Evaluate log square root of x divided by y squared      Log On


   



Question 769077: if logx =4 and logy =3 Evaluate log square root of x divided by y squared
Found 3 solutions by lwsshak3, MathTherapy, greenestamps:
Answer by lwsshak3(11628) About Me  (Show Source):
You can put this solution on YOUR website!
if logx =4 and logy =3 Evaluate log square root of x divided by y squared
***
log%28sqrt%28x%29%29%2F%28y%5E2%29
=1/2log(x)-2log(y)
=1/2*4-2*3
=2-6
=-3

Answer by MathTherapy(10837) About Me  (Show Source):
You can put this solution on YOUR website!
if logx =4 and logy =3 Evaluate log square root of x divided by y squared
=========================================================================
Not clear at all!!

log (x) = 4___x+=+10%5E4
log (y) = 3___y+=+10%5E3

If it's %28log+%28%28sqrt%28x%29%29%29%29%2Fy%5E2, then answer is: 2%2F10%5E6, or 2%2F%221%2C000%2C000%22
If it's log+%28%28sqrt%28x%29%2Fy%5E2%29%29, then answer is: - 4.
None of these correspond to the answer from the other person who responded!

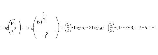
Answer by greenestamps(13351) About Me  (Show Source):
You can put this solution on YOUR website!


Algebraic expressions written in words are often ambiguous and open to different interpretations, as the other tutor indicated.

Assuming this is a problem from a student learning basic rules of logarithms, the most likely interpretation of the expression to be evaluated is
log%28%28%28sqrt%28x%29%29%2Fy%5E2%29%29

In that case, use basic logarithm rules to evaluate the expression.