SOLUTION: If log4=A and log6=B,express {{{ log(( 1/4-1/6 )) }}} in terms of A, B, and numerals.
Algebra
->
Logarithm Solvers, Trainers and Word Problems
-> SOLUTION: If log4=A and log6=B,express {{{ log(( 1/4-1/6 )) }}} in terms of A, B, and numerals.
Log On
Algebra: Logarithm
Section
Solvers
Solvers
Lessons
Lessons
Answers archive
Answers
Click here to see ALL problems on logarithm
Question 768744
:
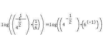
If log4=A and log6=B,express
in terms of A, B, and numerals.
Answer by
lwsshak3(11628)
(
Show Source
):
You can
put this solution on YOUR website!
If log4=A and log6=B,express
in terms of A, B, and numerals.
***
(-1/2)log(4)-log(6)=-A/2-B