SOLUTION: write the expression as a single logarithm using the addition and subtraction method log(x^2+2x-3)/(x^2-4)-log(x^2+7x+6)/(x+2) "log(x^2+2x-3)/(x^2-4)-log(x^2+7x+6)/(x+2) log(

Algebra ->  Logarithm Solvers, Trainers and Word Problems -> SOLUTION: write the expression as a single logarithm using the addition and subtraction method log(x^2+2x-3)/(x^2-4)-log(x^2+7x+6)/(x+2) "log(x^2+2x-3)/(x^2-4)-log(x^2+7x+6)/(x+2) log(      Log On


   



Question 768328: write the expression as a single logarithm using the addition and subtraction method
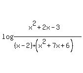
log(x^2+2x-3)/(x^2-4)-log(x^2+7x+6)/(x+2)
"log(x^2+2x-3)/(x^2-4)-log(x^2+7x+6)/(x+2)
log((x^2+2x-3)/(x^2-4)/(x^2+7x+6)/(x+2))
log(((x+3)(x-1)/(x+2)(x-2))/((x+6)(x+1)/(x+2)))
log(((x+3)(x-1)/(x+2)(x-2))*((x+2)/(x+6)(x+1)))
(x+2) cancels out"-iwsshak3
would the simplified addition and subtraction logarithm look like this
log(x+3)+log(x-1)-log(x+2)+log(x-2)+log(x+2)-log(x+6)+log(x+1)
once again thank for the help i might be over thinking the problem



Answer by Alan3354(69443) About Me  (Show Source):
You can put this solution on YOUR website!
write the expression as a single logarithm using the addition and subtraction method
log%28x%5E2%2B2x-3%29%2F%28x%5E2-4%29-log%28x%5E2%2B7x%2B6%29%2F%28x%2B2%29+
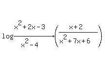
= log%28%28x%5E2%2B2x-3%29%2F%28x%5E2-4%29%29%2F%28%28x%5E2%2B7x%2B6%29%2F%28x%2B2%29%29+
Invert divisor and multiply
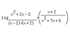
= log%28%28x%5E2%2B2x-3%29%2F%28x%5E2-4%29%29%2A%28%28x%2B2%29%2F%28x%5E2%2B7x%2B6%29%29
=
Cancel x+2
= log%28%28x%5E2%2B2x-3%29%2F%28%28x-2%29%28x%5E2%2B7x%2B6%29%29%29
===============
That's a single log, what was asked for.