SOLUTION: logx to the base2=log2x+10 to the base root2

Algebra ->  Logarithm Solvers, Trainers and Word Problems -> SOLUTION: logx to the base2=log2x+10 to the base root2       Log On


   



Question 760180: logx to the base2=log2x+10 to the base root2

Answer by lwsshak3(11628) About Me  (Show Source):
You can put this solution on YOUR website!
logx to the base2=log2x+10 to the base root2
***
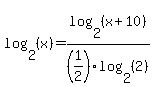
log%282%2C%28x%29%29=log%28sqrt%282%29%2C%28x%2B10%29%29
convert to base 2
log%282%2C%28x%29%29=log%282%2C%28x%2B10%29%29%2F%281%2F2%29log%282%2C%282%29%29
log%282%2C%28x%29%29=log%282%2C%28x%2B10%29%29%2F%281%2F2%29
log%282%2C%28x%29%29=2log%282%2C%28x%2B10%29%29
log%282%2C%28x%29%29=log%282%2C%28x%2B10%29%5E2%29
x=(x+10)^2=x^2+20x+100
x^2+19x+100=0
solve for x by quadratic formula:
x+=+%28-b+%2B-+sqrt%28+b%5E2-4%2Aa%2Ac+%29%29%2F%282%2Aa%29+
a=1, b=19, c=100
ans: no real roots, no solution.
see graph of quadratic equation below:
+graph%28+300%2C+300%2C+-20%2C+10%2C+-10%2C+40%2Cx%5E2%2B19x%2B100%29+