SOLUTION: How do I find x from log[3](x)-log[1/3](x+2)=1 ?

Algebra ->  Logarithm Solvers, Trainers and Word Problems -> SOLUTION: How do I find x from log[3](x)-log[1/3](x+2)=1 ?      Log On


   



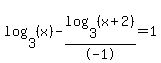
Question 757968: How do I find x from
log[3](x)-log[1/3](x+2)=1 ?

Answer by lwsshak3(11628) About Me  (Show Source):
You can put this solution on YOUR website!
log[3](x)-log[1/3](x+2)=1
convert to log base(3)
log%283%2C%28x%29%29-log%283%2C%28x%2B2%29%29%2Flog%283%2C%281%2F3%29%29=1
log%283%2C%28x%29%29-log%283%2C%28x%2B2%29%29%2Flog%283%2C%281%2F3%29%29=1
log%283%2C%281%2F3%29%29=-1
log%283%2C%28x%29%29-log%283%2C%28x%2B2%29%29%2F-1=1
log%283%2C%28x%29%29%2Blog%283%2C%28x%2B2%29%29=1
log%283%2Cx%28x%2B2%29%29=1
x(x+2)=3
x^2+2x-3=0
(x+3)(x-1)=0
x=-3(reject, x>0)
x=1
Check:
log%283%2C%28x%29%29=log%283%2C%281%29%29=0
-log%281%2F3%2C%28x%2B2%29%29=-log%281%2F3%2C%283%29%29=-%28-1%29=1
log[3](x)-log[1/3](x+2)=0+1=1