Question 749489: [log(x-4)=1-log(x-1)] + [the distance between (2,-3) and (-8, -3+ square root of 21)]
I tried solving the distance part and got 14.6, but I think its wrong. I have no idea where to begin with the log part.
Answer by KMST(5328) (Show Source):
You can put this solution on YOUR website! This diagram below shows points (2,-3) and (-8, ) circled, and the distance between them

The distance between points (2,-3) and (-8, 
can be calculated as 
where is the difference between the x-coordinates of the points,
and is the difference between the y-coordinates of the points.
It is not a difficult calculation, and no complicated distance formula needs to be memorized. (If your teacher disagrees, and requires that you

It is not a difficult calculation, and no complicated distance formula needs to be memorized. You do not even have to worry about the absolute values or the order of the numbers you subtract to get those differences because after you square them, it does not matter if it was and ; you get the same squared difference.
NOTE: If your teacher disagrees, and requires that you make it look complicated, you may have to write something like


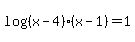
After finding that distance, the problem log(x-4)=1-log(x-1) + [the distance between (2,-3) and (-8, -3+ square root of 21)]
turns into 
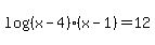
--> --> --> --> 
The equation --> --> makes me suspect some typo in the problem.
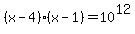
IF it had been log(x-4)=-10-log(x-1) + [the distance between (2,-3) and (-8, -3+ square root of 21)] ,
it would simplify to
--> --> --> --> --> --> 
with solutions and , and verifying in the original equation we would see that
is a solution of ,
but does not work because it makes and and their logarithms would not exist.
|
|
|