SOLUTION: 1. Solve the following equations a) log(base 2) x+1 + log(base 2) x-1 = 3 b) log(base 2) x^2-1 =3 c) explain why the equations log(base 2) x+1 + log(base 2) x-1 = 3 and log(base

Algebra ->  Logarithm Solvers, Trainers and Word Problems -> SOLUTION: 1. Solve the following equations a) log(base 2) x+1 + log(base 2) x-1 = 3 b) log(base 2) x^2-1 =3 c) explain why the equations log(base 2) x+1 + log(base 2) x-1 = 3 and log(base      Log On


   



Question 744486: 1. Solve the following equations
a) log(base 2) x+1 + log(base 2) x-1 = 3
b) log(base 2) x^2-1 =3
c) explain why the equations log(base 2) x+1 + log(base 2) x-1 = 3 and log(base 2) x^2-1 =3 are not equal.
Can you please help me out? Thanks so much in advance:)
Can you please show all the steps it would really help me understand:)

Answer by lwsshak3(11628) About Me  (Show Source):
You can put this solution on YOUR website!
1. Solve the following equations
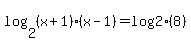
a) log(base 2) x+1 + log(base 2) x-1 = 3
log%282%2C%28x%2B1%29%29%2Blog%282%2C%28x-1%29%29=3
log%282%2C%28x%2B1%29%28x-1%29%29=3
log%282%2C%28x%2B1%29%28x-1%29%29=log%282%288%29%29
(x+1)(x-1)=8
x^2-1=8
x^2=9
x=±3
..
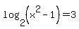
b) log(base 2) x^2-1 =3
log%282%2C%28x%5E2-1%29%29+=3
log%282%2C%28x%5E2-1%29%29+=log%282%288%29%29
x^2-1=8
x^2=9
x=±3
..
c) explain why the equations log(base 2) x+1 + log(base 2) x-1 = 3 and log(base 2) x^2-1 =3 are not equal.
The equations of a) and b) are equal as shown above.