SOLUTION: Please explain why the number 1 cannot be the base of a logarithmic function. Thank you.

Algebra ->  Logarithm Solvers, Trainers and Word Problems -> SOLUTION: Please explain why the number 1 cannot be the base of a logarithmic function. Thank you.      Log On


   



Question 74179: Please explain why the number 1 cannot be the base of a logarithmic function. Thank you.
Answer by jim_thompson5910(35256) About Me  (Show Source):
You can put this solution on YOUR website!
Because if you use the change of base formula
log_%5Bb%5D%28a%29=log%28a%29%2Flog%28b%29If you let b=1, you get
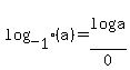
log_%5B1%5D%28a%29=log%28a%29%2Flog%281%29
Log(1)=0 since x^0=1 so it becomes
log_%5B1%5D%28a%29=log%28a%29%2F0Which is not possible for any value of a.