SOLUTION: how to turn this 3logx-3log(x^2+1)+5log(x-1)into a single logarithm

Algebra ->  Logarithm Solvers, Trainers and Word Problems -> SOLUTION: how to turn this 3logx-3log(x^2+1)+5log(x-1)into a single logarithm      Log On


   



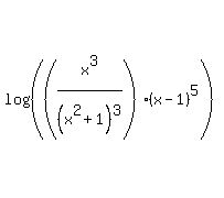
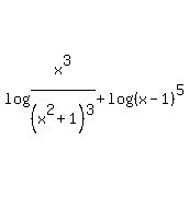
Question 740403: how to turn this 3logx-3log(x^2+1)+5log(x-1)into a single logarithm
Answer by MathLover1(20850) About Me  (Show Source):