SOLUTION: Solve the equation, give an exact solution log4(x+4) + log4(x+4) = 1 I cannot figure out the answer.

Algebra ->  Logarithm Solvers, Trainers and Word Problems -> SOLUTION: Solve the equation, give an exact solution log4(x+4) + log4(x+4) = 1 I cannot figure out the answer.      Log On


   



Question 740355: Solve the equation, give an exact solution
log4(x+4) + log4(x+4) = 1
I cannot figure out the answer.

Found 2 solutions by MathLover1, rothauserc:
Answer by MathLover1(20850) About Me  (Show Source):
You can put this solution on YOUR website!
log%284%2C%28x%2B4%29%29+%2B+log%284%2C%28x%2B4%29%29+=+1....in base 10 we have

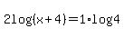
2log%28%28x%2B4%29%29%2Flog%284%29+=+1

2log%28%28x%2B4%29%29+=+1%2Alog%284%29

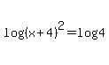
log%28%28x%2B4%29%5E2%29+=+log%284%29...if so, then

%28x%2B4%29%5E2+=+4
x%5E2%2B8x%2B16+=+4
x%5E2%2B8x%2B16+-4=0
x%5E2%2B8x%2B12=0
x+=+%28-b+%2B-+sqrt%28+b%5E2-4%2Aa%2Ac+%29%29%2F%282%2Aa%29+
x+=+%28-8+%2B-+sqrt%28+8%5E2-4%2A1%2A12+%29%29%2F%282%2A1%29+
x+=+%28-8+%2B-+sqrt%28+64-48+%29%29%2F2+
x+=+%28-8+%2B-+sqrt%28+16%29%29%2F2+
x+=+%28-8+%2B-+4%29%2F2+
solutions;
x+=+%28-8+%2B-4%29%2F2+
x+=+-4%2F2+
highlight%28x+=+-2%29+.......

x+=+%28-8+-4%29%2F2+
x+=+-12%2F2+
x+=+-6+

we need only this solution because we have logarithm and we can find only log of positive number; since we looking for log of%28x%2B4%29 it will be positive number if we plug in x=-2 (%28x%2B4%29=-2%2B4=2)

if we plug in x=-6 we will get negative number (%28x%2B4%29=-6%2B4=-2)
so, your solution is: highlight%28x+=+-2%29+



Answer by rothauserc(4718) About Me  (Show Source):
You can put this solution on YOUR website!
here is a shorter answer
note that log4(4) = 1
then we can rewrite the equation as
log4(x+4) + log4(x+4) = log4(4)
we can then remove the log base 4 from both sides of the =
we get
x+4 + x+4 = 4
2x+8 = 4
2x = -4
and x = -2