SOLUTION: let log(b)2=A and log(b)3=c write the expression in terms of A&C. log(b)square root(32/3). I know 2^5=32 so I tried submitting (A^5-C)^1/2

Algebra ->  Logarithm Solvers, Trainers and Word Problems -> SOLUTION: let log(b)2=A and log(b)3=c write the expression in terms of A&C. log(b)square root(32/3). I know 2^5=32 so I tried submitting (A^5-C)^1/2      Log On


   



Question 736917: let log(b)2=A and log(b)3=c
write the expression in terms of A&C.
log(b)square root(32/3).
I know 2^5=32 so I tried submitting (A^5-C)^1/2

Answer by lwsshak3(11628) About Me  (Show Source):
You can put this solution on YOUR website!
let log(b)2=A and log(b)3=c
write the expression in terms of A&C.
log(b)square root(32/3)
**
log%28b%2Csqrt%2832%2F3%29%29
log%28b%2Csqrt%2832%29%29-log%28b%2Csqrt%283%29%29
log%28b%2C%282%5E%285%2F2%29%29%29-log%28b%2C%283%5E%281%2F2%29%29%29
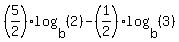
%285%2F2%29log%28b%2C%282%29%29-%281%2F2%29log%28b%2C%283%29%29
%285%2F2%29A-%281%2F2%29c
log%28b%2Csqrt%2832%2F3%29%29=%285A%2F2%29-%28c%2F2%29