SOLUTION: How do I Show that this statement is true for log_a((x+ √(x^2-5))/5)= -log_a(x- √(x^2-5))

Algebra ->  Logarithm Solvers, Trainers and Word Problems -> SOLUTION: How do I Show that this statement is true for log_a((x+ √(x^2-5))/5)= -log_a(x- √(x^2-5))      Log On


   



Question 734300: How do I Show that this statement is true for log_a((x+ √(x^2-5))/5)= -log_a(x- √(x^2-5))
Answer by josgarithmetic(39630) About Me  (Show Source):
You can put this solution on YOUR website!
Base is "a", so ignoring this in the notation,
First trick is dealing with the negative sign on the right.
log%28%28x%2Bsqrt%28x%5E2-5%29%29%2F5%29=log%281%2F%28x-sqrt%28x%5E2-5%29%29%29

Take logarithms of left side and right side.
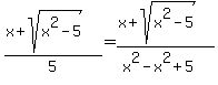
%28x%2Bsqrt%28x%5E2-5%29%29%2F5=1%2F%28x-sqrt%28x%5E2-5%29%29

Next important trick (technique) is multiply numerator and denominator on the right side by the conjugate of the denominator.

%28x%2Bsqrt%28x%5E2-5%29%29%2F5=%28x%2Bsqrt%28x%5E2-5%29%29%2F%28x%5E2-x%5E2%2B5%29
%28x%2Bsqrt%28x%5E2-5%29%29%2F5=%28x%2Bsqrt%28x%5E2-5%29%29%2F5
DONE.