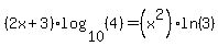
SOLUTION: solve the equation log little 10 4 to the power of 2x+3 = ln3 to the power of x2

Algebra ->  Logarithm Solvers, Trainers and Word Problems -> SOLUTION: solve the equation log little 10 4 to the power of 2x+3 = ln3 to the power of x2      Log On


   



Question 711162: solve the equation log little 10 4 to the power of 2x+3 = ln3 to the power of x2
Answer by jsmallt9(3758) About Me  (Show Source):
You can put this solution on YOUR website!
Is "x2" x%5E2 or x%2A2? The problem is much easier if it is x*2. I'll solve it both ways, starting with x%5E2:
log%2810%2C+%284%5E%282x%2B3%29%29%29+=+ln%283%5E%28x%5E2%29%29
On both sides of the equation, the variable is in the exponent of the argument of a log. There is a property of logarithms, log%28a%2C+%28p%5En%29%29++=+n%2Alog%28a%2C+%28p%29%29, which allows us to move such exponents out in front of the log. Using this property on our equation we get:
%282x%2B3%29%2Alog%2810%2C+%284%29%29+=+%28x%5E2%29%2Aln%283%29
On the left side we can use the Distributive Property to multiply:
2x%2Alog%2810%2C+%284%29%29%2B3%2Alog%2810%2C+%284%29%29+=+%28x%5E2%29%2Aln%283%29

With the x%5E2 term this is a quadratic equation. And with the log's in there, the answer is not going to work out to be a nice whole number (or even a fraction). So I am going to use a calculator to find all the logs (and round the log to the nearest 3 decimal places):
2x%2A0.602%2B3%2A0.602+=+%28x%5E2%29%2A1.099

which simplifies to:
1.204x%2B1.806+=+1.099x%5E2
Subtracting the squared term from each side:
-1.099x%5E2%2B1.204x%2B1.806+=+0
Then using the Quadratic Formula:

Simplifying:
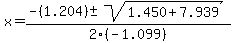
x+=+%28-%281.204%29+%2B-+sqrt%281.450-4%28-1.099%29%281.806%29%29%29%2F2%28-1.099%29
x+=+%28-%281.204%29+%2B-+sqrt%281.450%2B7.939%29%29%2F2%28-1.099%29
x+=+%28-%281.204%29+%2B-+sqrt%289.389%29%29%2F2%28-1.099%29
x+=+%28-%281.204%29+%2B-+3.064%29%2F2%28-1.099%29
x+=+%28-1.204+%2B-+3.064%29%2F2.198
which is short for:
x+=+%28-1.204+%2B+3.064%29%2F2.198 or x+=+%28-1.204+-+3.064%29%2F2.198
which simplify as follows:
x+=+1.86%2F2.198 or x+=+%28-4.268%29%2F2.198
x+=+0.846 or x+=+-1.942
These are decimal approximations for the solutions to your equation if x2 meant x%5E2

If x2 meant x*2 (or 2x)...
The steps are mostly the same so I'll leave out the commentary except to explain the differences.
log%2810%2C+%284%5E%282x%2B3%29%29%29+=+ln%283%5E%282x%29%29
%282x%2B3%29%2Alog%2810%2C+%284%29%29+=+%282x%29%2Aln%283%29
2x%2Alog%2810%2C+%284%29%29%2B3%2Alog%2810%2C+%284%29%29+=+%282x%29%2Aln%283%29
This is not a quadratic equation. With this we want all the x terms on one side and the other terms on the other side. Subtracting the first term of the left side from both sides gives us:
3%2Alog%2810%2C+%284%29%29+=+%282x%29%2Aln%283%29-2x%2Alog%2810%2C+%284%29%29
Factoring out x from the terms on the right side:
3%2Alog%2810%2C+%284%29%29+=+x%282%2Aln%283%29-2%2Alog%2810%2C+%284%29%29%29
And then dividing by %282%2Aln%283%29-2%2Alog%2810%2C+%284%29%29%29:
%283%2Alog%2810%2C+%284%29%29%29%2F%282%2Aln%283%29-2%2Alog%2810%2C+%284%29%29%29+=+x
This is an exact expression for the solution to the equation if x2 meant x*2 or 2x. Without having to deal with a quadratic equation made it much easier to avoid using our calculator (to get decimal approximations).

If you want or need decimal approximations for this solution, you can use the values for the logs in the first solution (when x2 meant x%5E2 and then simplify the left side.