SOLUTION: how do you condense: ln x - 2 ln (x^2 + 1) + 1/2 ln (3 - x^4)

Algebra ->  Logarithm Solvers, Trainers and Word Problems -> SOLUTION: how do you condense: ln x - 2 ln (x^2 + 1) + 1/2 ln (3 - x^4)      Log On


   



Question 698692: how do you condense: ln x - 2 ln (x^2 + 1) + 1/2 ln (3 - x^4)
Found 2 solutions by stanbon, Edwin McCravy:
Answer by stanbon(75887) About Me  (Show Source):
You can put this solution on YOUR website!
ln x - 2 ln (x^2 + 1) + 1/2 ln (3 - x^4)
-----
ln(x) - ln(x^2+1)^2 + ln(3-x^4)^(1/2)
----
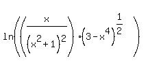
= ln[x(3-x^4)^(1/2)/(x^2+1)^2]
================
Cheers,
Stan H.
================

Answer by Edwin McCravy(20056) About Me  (Show Source):
You can put this solution on YOUR website!
Here it is in a little more detail

matrix%282%2C1%2C%22%22%2Cln%28x%29%29matrix%282%2C1%2C%22%22%2C%22%22-%22%22%29matrix%282%2C1%2C%22%22%2C2%2Aln%28x%5E2%2B1%29%29matrix%282%2C1%2C%22%22%2C%22%22%2B%22%22%29matrix%282%2C1%2C%22%22%2Cexpr%281%2F2%29ln%283-x%5E4%29%29

Make the coefficients become exponents:

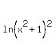
matrix%282%2C1%2C%22%22%2Cln%28x%29%29matrix%282%2C1%2C%22%22%2C%22%22-%22%22%29matrix%282%2C1%2C%22%22%2Cln%28x%5E2%2B1%29%5E2%29matrix%282%2C1%2C%22%22%2C%22%22%2B%22%22%29matrix%282%2C1%2C%22%22%2Cln%283-x%5E4%29%5E%281%2F2%29%29

Write the first two terms (the difference of two natural logs) as
the natural log of their quotient:

matrix%282%2C1%2C%22%22%2Cln%28x%2F%28x%5E2%2B1%29%5E2%29%29matrix%282%2C1%2C%22%22%2C%22%22%2B%22%22%29matrix%282%2C1%2C%22%22%2Cln%283-x%5E4%29%5E%281%2F2%29%29

Write those two terms (the sum of two natural logs) as
the natural log of their product:



Change the 1%2F2 exponent to a square root

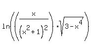
matrix%282%2C1%2C%22%22%2Cln%28%28x%2F%28x%5E2%2B1%29%5E2%29+sqrt%283-x%5E4%29++%29%29

and put the square root in the numerator multiplied by the x

matrix%282%2C1%2C%22%22%2Cln%28+++%28x%2Asqrt%283-x%5E4%29%29%2F%28x%5E2%2B1%29%5E2%29++%29

Edwin