Question 693568: 5^2x-9(5^x )+14=0
Answer by jsmallt9(3758) (Show Source):
You can put this solution on YOUR website! I assume the equation is:

If I am correct, then please put parentheses around exponents that are not just a number or variable. What you posted meant:
(Note the first x is not in the exponent.)
Since the first exponent on 5, 2x, is exactly twice the exponent on the second 5, x, this equation is in what is called quadratic form. These equations can be solved using the same techniques used on regular quadratic equations.
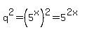
If you have not solved many of these they can be a bit difficult. It can be helpful to use a temporary variable:
Let . Then , Substituting these into our equation we get:

This is obviously a quadratic equation. It factors fairly easily:

From the Zero Product Property:
q - 7 = 0 or q - 2 = 0
Solving these we get:
q = 7 or q = 2
Of course we are interested in values for x, not q. So we substitute back in for q:
or 
To solve these for x we will use logarithms. Any base of logarithm may be used. But there are some advantages to certain bases:- Choosing a base of logarithm that matches the base of the exponent will result in the simplest possible expression for the solution.
- Choosing a base of logarithm that your calculator "knows" (base 10, "log", or base e, "ln") will result in an expression that can be easily converted to a decimal approximation if one is needed/wanted.
I'm going to match the bases so I'll use base 5 logs:
or 
Next we use a property of logarithms, , which allows us to move the exponent of the argument out in front:
or 
By definition . So these equations simplify to:
or 
These are exact expressions for the solutions to your equation.
If you want/need a decimal approximation, then use the change of base formula, , to convert this to base 10 or base e logs so you can use your calculator.
|
|
|