SOLUTION: log(3-x) - log(x) = 1

Algebra ->  Logarithm Solvers, Trainers and Word Problems -> SOLUTION: log(3-x) - log(x) = 1      Log On


   



Question 692572: log(3-x) - log(x) = 1
Answer by jsmallt9(3758) About Me  (Show Source):
You can put this solution on YOUR website!
log%28%283-x%29%29-log%28%28x%29%29+=+1+
Solving equations like this usually starts with transforming the equation into one of the following forms:
log(expression) = number
or
log(expression) = log(other-expression)

If we could find a way to combine the two logarithms we would have the first form. They are not like terms so we cannot subtract them. (Like logarithmic terms have the same bases and the same arguments.)

But there is a property of logarithms, log%28a%2C+%28p%29%29+-+log%28a%2C+%28q%29%29+=+log%28a%2C+%28p%2Fq%29%29, which provides an alternate way to combine logs which have a "-" between them. This property requires the same bases and coefficients of 1. Our logs meet both requirements. Using this property on the left side of our equation we get:
log%28%28%283-x%29%2Fx%29%29+=+1
We now have the desired form.

The next step with this form is to rewrite it in exponential form. In general log%28a%2C+%28p%29%29+=+k is equivalent to a%5Ek+=+p. Using this pattern (and the fact that the base of "log" is 10) we get:
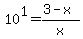
10%5E1+=+%283-x%29%2Fx
which simplifies to:
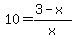
10+=+%283-x%29%2Fx
Now we solve for x. Multiplying both sides by x we get:
10x+=+3-x
Adding x:
11x+=+3
Dividing by 11:
x+=+3%2F11

Last we check. This is not optional when solving equations like this. You must at least ensure that the arguments of the logs are valid (i.e. positive). Use the original equation to check:
log%28%283-x%29%29-log%28%28x%29%29+=+1+
Checking x = 3/11:
log%28%283-%283%2F11%29%29%29-log%28%28%283%2F11%29%29%29+=+1+
We can already see that the first argument, 3 - 3/11, will turn out negative. An argument to a logarithm may never be negative. So we must reject this solution. And since this rejected "solution" was the only one we found...
There are no solutions to your equation!