Question 682562: solve for x
log16(2x + 1) = -0.5
Answer by rapaljer(4671) (Show Source):
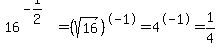
You can put this solution on YOUR website! means that


I have a LOT of explanations, examples, and FULL COLOR solutions to problems like this on my own website. I even have VIDEOS of me teaching logarithms in my younger days before I retired and my hair was still dark!! Logarithms are probably not nearly as hard as your textbook is making it.
My website is all FREE with NO ADVERTISING, and I'm not selling anything! I just want to make this as easy as I can for you.
To see my website go to www.mathinlivingcolor.com, named after my theme "Math in Living Color." Look for a single link near the bottom of this page that will take you to my Homepage. Once on my Homepage, look for "Basic, Intermediate and College Algebra: One Step at a Time", and select "College Algebra". Look in "Chapter 4" for Logarithms!
As for the videos, look for the link on my Homepage called "Rapalje Videos in Living Color", and choose College Algebra. Choose the videos on Logarithms, Part II. Regretfully, the videos are from 20 years ago, and any mention of calculators in the videos is horribly out-dated. Sorry about that!
If you have questions on other topics, just send me an Email! I'll be glad to help you find the right page on my website. I hope you like my website and that you will recommend it to family and friends! Remember, my goal is to make math EASIER than your own textbook is making it, and it's ALL FREE!!!
Dr. Robert J. Rapalje, Retired
Seminole State College of Florida
www.mathinlivingcolor.com.
|
|
|