SOLUTION: 1.How would I find what x is equal to? log(2x^2-11x-11)=1 Please help with the steps!

Algebra ->  Logarithm Solvers, Trainers and Word Problems -> SOLUTION: 1.How would I find what x is equal to? log(2x^2-11x-11)=1 Please help with the steps!       Log On


   



Question 681725: 1.How would I find what x is equal to?
log(2x^2-11x-11)=1
Please help with the steps!

Answer by jsmallt9(3758) About Me  (Show Source):
You can put this solution on YOUR website!
log%28%282x%5E2-11x-11%29%29=1
Your equation is in the form:
log(expression) = number
This is fortunate because this is a form you want the equation to be in and often you have to work hard to get the equation into this form.

The next step with this form is to rewrite the equation in exponential form. In general log%28a%2C+%28p%29%29+=+k is equivalent to a%5Ek+=+p. Using this pattern (and the fact that the base of "log" is 10) we get:
10%5E1+=+2x%5E2-11x-11
which simplifies to:
10+=+2x%5E2-11x-11

Now that the logarithm is gone we can use "regular" algebra to solve. This is a quadratic equation so we want one side to be zero. Subtracting 10 from each side:
0+=+2x%5E2-11x-21
Next we factor (or use the Quadratic Formula). The expression does factor:
0+=+%282x%2B3%29%28x-7%29
From the Zero Product Property:
2x%2B3+=+0 or x-7+=+0
Solving these we get:
x+=+-3%2F2 or x+=+7

Last we check. This is not optional when solving logarithmic equations. You must ensure that each solution makes every argument to a logarithm positive. If any "solution" makes an argument negative or zero then we must reject that "solution". Use the original equation to check:
log%28%282x%5E2-11x-11%29%29=1
Checking x+=+-3%2F2:
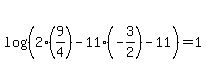
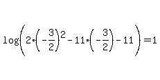
log%28%282%28-3%2F2%29%5E2-11%28-3%2F2%29-11%29%29=1
Simplifying:
log%28%282%289%2F4%29-11%28-3%2F2%29-11%29%29=1
log%28%289%2F2%2B33%2F2-11%29%29=1
log%28%2842%2F2-11%29%29=1
log%28%2821-11%29%29=1
log%28%2810%29%29=1
The argument is 10 when x+=+-3%2F2. So this solution passes the check.

Checking x+=+7:
log%28%282%287%29%5E2-11%287%29-11%29%29=1
Simplifying:
log%28%282%2849%29-11%287%29-11%29%29=1
log%28%2898-77-11%29%29=1
log%28%2821-11%29%29=1
log%28%2810%29%29=1
The argument is 10 when x+=+7. So this solution passes the check, too.

So there are two solutions to your equation: x+=+-3%2F2 or x+=+7