SOLUTION: Please solve ln(x+1)^2 = 2
Algebra
->
Logarithm Solvers, Trainers and Word Problems
-> SOLUTION: Please solve ln(x+1)^2 = 2
Log On
Algebra: Logarithm
Section
Solvers
Solvers
Lessons
Lessons
Answers archive
Answers
Click here to see ALL problems on logarithm
Question 679651
:
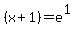
Please solve ln(x+1)^2 = 2
Answer by
nerdybill(7384)
(
Show Source
):
You can
put this solution on YOUR website!