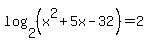
SOLUTION: Log_2(x^2+5x-32)=2

Algebra ->  Logarithm Solvers, Trainers and Word Problems -> SOLUTION: Log_2(x^2+5x-32)=2      Log On


   



Question 677886: Log_2(x^2+5x-32)=2
Answer by MathLover1(20850) About Me  (Show Source):
You can put this solution on YOUR website!

log%282%2C%28x%5E2%2B5x-32%29%29=2......in base 10 it will be

log%28%28x%5E2%2B5x-32%29%29%2Flog%28%282%29%29=2

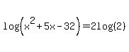
log%28%28x%5E2%2B5x-32%29%29=2log%28%282%29%29.......since 2log%282%29=log%282%5E2%29=log%284%29, we have

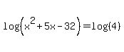
log%28%28x%5E2%2B5x-32%29%29=log%28%284%29%29

log%28%28x%5E2%2B5x-32%29%29=log%28%284%29%29..if this equal, than

x%5E2%2B5x-32=4...is equal too
now solve for x using quadratic formula

x%5E2%2B5x-32-4=0

x%5E2%2B5x-36=0

x+=+%28-b+%2B-+sqrt%28+b%5E2-4%2Aa%2Ac+%29%29%2F%282%2Aa%29+

x+=+%28-5+%2B-+sqrt%28+5%5E2-4%2A1%2A%28-36%29+%29%29%2F%282%2A1%29+

x+=+%28-5+%2B-+sqrt%2825%2B144+%29%29%2F2+

x+=+%28-5+%2B-+sqrt%28169+%29%29%2F2+

x+=+%28-5+%2B-+13%29%2F2+
solutions:

x+=+%28-5+%2B+13%29%2F2+

x+=+8%2F2+

x+=4+

and

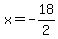
x+=+%28-5+-+13%29%2F2+

x+=-18%2F2+

x+=-9+