SOLUTION: Write the expression log^a(y+5)+2log^a(x+1) as one logarithm. Thanks!
Algebra
->
Logarithm Solvers, Trainers and Word Problems
-> SOLUTION: Write the expression log^a(y+5)+2log^a(x+1) as one logarithm. Thanks!
Log On
Algebra: Logarithm
Section
Solvers
Solvers
Lessons
Lessons
Answers archive
Answers
Click here to see ALL problems on logarithm
Question 65663
:
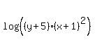
Write the expression log^a(y+5)+2log^a(x+1) as one logarithm. Thanks!
Answer by
Earlsdon(6294)
(
Show Source
):
You can
put this solution on YOUR website!
Use the "Product rule" for logarithms:
Also recall that
Applying this to your case:
=