SOLUTION: Solve, and express your answer in exact form: 3^x = 4^(l-x)

Algebra ->  Logarithm Solvers, Trainers and Word Problems -> SOLUTION: Solve, and express your answer in exact form: 3^x = 4^(l-x)      Log On


   



Question 64943: Solve, and express your answer in exact form: 3^x = 4^(l-x)
Answer by funmath(2933) About Me  (Show Source):
You can put this solution on YOUR website!
Solve, and express your answer in exact form:
3%5Ex=4%5E%28l-x%29
ln%283%5Ex%29=ln%284%5E%281-x%29%29
xln%283%29=%281-x%29ln%284%29
xln%283%29=ln%284%29-xln%284%29
xln%283%29%2Bxln%284%29=ln%284%29-xln%284%29%2Bxln%284%29
xln%283%29%2Bxln%284%29=ln%284%29
x%28ln%283%29%2Bln%284%29%29=ln%284%29
xln%283%2A4%29=ln%284%29
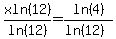
xln%2812%29=ln%284%29
xln%2812%29%2Fln%2812%29=ln%284%29%2F%28ln%2812%29%29
x=ln%284%29%2F%28ln%2812%29%29
Happy Calculating!!!!