SOLUTION: How do I solve for log base 1/3 of the square root of 3 over 3 = x

Algebra ->  Logarithm Solvers, Trainers and Word Problems -> SOLUTION: How do I solve for log base 1/3 of the square root of 3 over 3 = x      Log On


   



Question 636169: How do I solve for log base 1/3 of the square root of 3 over 3 = x
Answer by Alan3354(69443) About Me  (Show Source):
You can put this solution on YOUR website!
How do I solve for log base 1/3 of the square root of 3 over 3 = x
----------
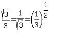
sqrt%283%29%2F3+=+1%2Fsqrt%283%29+=+%281%2F3%29%5E%281%2F2%29
log%28%281%2F3%29%2C%281%2F3%29%5E%281%2F2%29%29+=+x
x = 1/2