SOLUTION: Write as the logarithm of a single quantity:1/5[3log(x+1)+2log(x-1)-log7]

Algebra ->  Logarithm Solvers, Trainers and Word Problems -> SOLUTION: Write as the logarithm of a single quantity:1/5[3log(x+1)+2log(x-1)-log7]      Log On


   



Question 629415: Write as the logarithm of a single quantity:1/5[3log(x+1)+2log(x-1)-log7]
Answer by jsmallt9(3758) About Me  (Show Source):
You can put this solution on YOUR website!
%281%2F5%29%283log%28%28x%2B1%29%29%2B2log%28%28x-1%29%29-log%28%287%29%29%29
There are two ways to condense/combine logarithms:
  • Adding or subtracting them if they are like terms. (Like logarithmic terms have the same bases and same arguments.)
  • Using either of the following properties of logarithms:
    • log%28a%2C+%28p%29%29+%2B+log%28a%2C+%28q%29%29+=+log%28a%2C+%28p%2Aq%29%29
    • log%28a%2C+%28p%29%29+-+log%28a%2C+%28q%29%29+=+log%28a%2C+%28p%2Fq%29%29
    These properties require that the logs have the same bases and coefficients of 1.
The logs in your expression are all base 10 logs. They have different arguments however so we will not be able to add or subtract them.

Two of your logarithms do not have coefficients of 1 so, at the moment, we cannot use the properties to combine the terms. Fortunately there is another property of logarithms, q%2Alog%28a%2C+%28p%29%29+=+log%28a%2C+%28p%5Eq%29%29, which allows us to move a coefficient into the argument as its exponent. By using this property we can create the coefficients of 1 we need to use the other two properties to combine the terms.
Using this 3rd property on the first two logs we get:


We can now start using the first two properties to combine the logs. The first two logs have a "+" between them so we will use the first property (since it also has a "+" between the logs):
%281%2F5%29%28log%28%28%28x%2B1%29%5E3%28x-1%29%5E2%29%29-log%28%287%29%29%29
Now we will use the second property because of the "-" between the remaining logs:
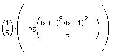
%281%2F5%29%28log%28%28%28%28x%2B1%29%5E3%28x-1%29%5E2%29%2F7%29%29%29
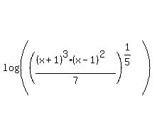
This may the the desired "single quantity". Or perhaps we should use the 3rd property to move the 1/5 into the argument, too:
log%28%28%28%28%28x%2B1%29%5E3%28x-1%29%5E2%29%2F7%29%5E%281%2F5%29%29%29
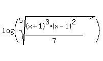
This may be the desired answer. Or since 1/5 as an exponent means 5th root:
log%28%28root%285%2C+%28%28x%2B1%29%5E3%28x-1%29%5E2%29%2F7%29%29%29