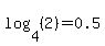
SOLUTION: Express this equation in logarithmic form. 4^0.5 = 2
Algebra
->
Logarithm Solvers, Trainers and Word Problems
-> SOLUTION: Express this equation in logarithmic form. 4^0.5 = 2
Log On
Algebra: Logarithm
Section
Solvers
Solvers
Lessons
Lessons
Answers archive
Answers
Click here to see ALL problems on logarithm
Question 610802
:
Express this equation in logarithmic form.
4^0.5 = 2
Found 2 solutions by
jim_thompson5910, fcabanski
:
Answer by
jim_thompson5910(35256)
(
Show Source
):
You can
put this solution on YOUR website!
in logarithmic form is
--------------------------------------------------------------------------------------------------------------
If you need more help, email me at
jim_thompson5910@hotmail.com
Also, please consider visiting my website:
http://www.freewebs.com/jimthompson5910/home.html
and making a donation. Thank you
Jim
--------------------------------------------------------------------------------------------------------------
Answer by
fcabanski(1391)
(
Show Source
):
You can
put this solution on YOUR website!
log(base b)x=a is equivalent to b^a = x.
4^.5 = 2 is equivalent to log(base 4)2 = .5
Contact me for private, online tutoring.