SOLUTION: Find the future amount if $1900 is deposited at 8% compounded quarterly for 9 years. I dont know how to solve please put all steps!

Algebra ->  Logarithm Solvers, Trainers and Word Problems -> SOLUTION: Find the future amount if $1900 is deposited at 8% compounded quarterly for 9 years. I dont know how to solve please put all steps!      Log On


   



Question 608913: Find the future amount if $1900 is deposited at 8% compounded quarterly for 9 years. I dont know how to solve please put all steps!
Answer by ewatrrr(24785) About Me  (Show Source):
You can put this solution on YOUR website!
 
Hi
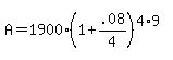
$1900 is deposited at 8% compounded quarterly for 9 years.
In General A+=+P%281%2Br%2Fn%29%5Ent
A = Accumulated Amount
P= principal = $1900
r= annual rate = .08
n= periods per year = 4
t= years = 9
A+=+1900%281%2B.08%2F4%29%5E%284%2A9%29
A+=+1900%281.02%29%5E36 = $3875.79