You can put this solution on YOUR website! ln(x+2)-ln(x-1)=1
Solving equations like this, where the variable is in the argument (or base) of a logarithm usually starts with transforming the equation into one of the following forms:
log(expression) = other-expression
or
log(expression) = log(other-expression) -- where the bases of the two logs are equal.
With the constant term of 1 (on the right side) the "all log" second form will be challenging to achieve. So we are going to transform your equation into the first form.
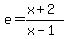
The first form has a single logarithm. Your equation has two logs. Somehow we must combine the two logarithms into one. They are not like terms so we cannot simply subtract them. Fortunately there is a property will we can use:
Using this property on your equation we get:
We now have the equation in the first form.
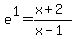
Once the equation is in the first form, the next step is to rewrite the equation in exponential form. In general
is equivalent to
Using this pattern on your equation we get:
which simplifies to:
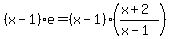
Notice how the variable is now "exposed". We can now use standard algebra to solve this equation for x. First let's eliminate the fraction by multiplying each side by (x-1):
which simplifies to:
Next we will gather the "x-terms" on one side and the "non x-terms" on the other side of the equation. Subtracting e*x and 2 from each side we get:
Factoring out x on the right side:
Then we divide bot sides by (1 - e):
And we are finished. (If you need a decimal approximation, then replace the e's with 2.71828183 (or some rounded off version of that number) and simplify.)